Abstract
Introduction
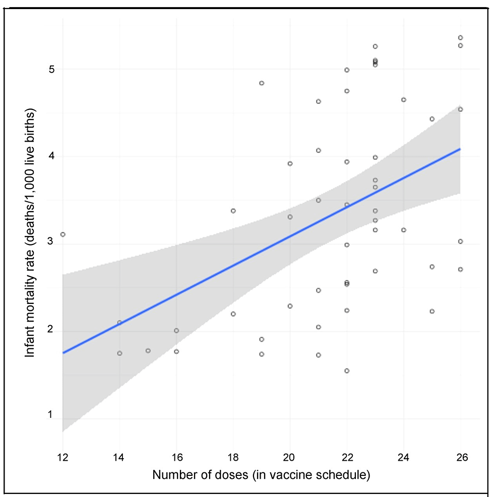
In 2011, using 2009 data, we published a study demonstrating that among the most highly developed nations, those requiring the most vaccine doses for their infants tended to have the least favorable infant mortality rates (r = 0.70, p < .0001). Twelve years later, we replicated our original study using 2019 data. Linear regression analysis corroborated the positive trend reported in our initial paper (r = 0.45; p < .002). Herein, we broaden our analyses to consider the effect of vaccines on neonatal and under age five mortality rates.
Objective
We performed several investigations to explore potential relationships between the number of early childhood vaccine doses required by nations and their neonatal, infant, and under age five mortality rates.
Methods
In this ecological study, we conducted linear regression analyses of neonatal, infant, and under age five vaccine doses required by nations and their neonatal, infant, and under age five mortality rates. All analyses were based on 2019 and 2021 data. We also stratified nations by the number of neonatal vaccine doses required and conducted a one-way ANOVA test and a post hoc Tukey-Kramer test to determine if there were statistically significant differences in the group mean neonatal, infant, and under age five mortality rates of nations that administered zero, one, or two neonatal vaccine doses.
Results
Linear regression analyses of neonatal vaccine doses required by nations in our 2021 dataset yielded statistically significant positive correlations to rates of neonatal mortality (r = 0.34, p = .017), infant mortality (r = 0.46, p = .0008), and under age five mortality (r = 0.48, p = .0004). Similar results were reported using 2019 data.
Utilizing 2021 data, a post hoc Tukey-Kramer test indicated a statistically significant pairwise difference between the mean neonatal mortality rates, mean infant mortality rates, and mean under age five mortality rates of nations requiring zero vs. two neonatal vaccine doses. There was a statistically significant difference of 1.28 deaths per 1000 live births (p < .002) between the mean infant mortality rates among nations that did not give their neonates any vaccine doses and those that required two vaccine doses.
Using 2019 and 2021 data, 17 of 18 analyses (12 bivariate linear regressions and six ANOVA and Tukey-Kramer tests) achieved statistical significance and corroborated the findings reported in our original study of a positive association between the number of vaccine doses required by developed nations and their infant mortality rates.
Conclusions
There are statistically significant positive correlations between mortality rates of developed nations and the number of early childhood vaccine doses that are routinely given. Further investigations of the hypotheses generated by this study are recommended to confirm that current vaccination schedules are achieving their intended objectives.

from the study linked above
These are deaths. Deaths indicate much higher harm rates. ABN